رسميًا.. التعريفة الجديدة لسيارات السرفيس والنقل الجماعي في الجيزة بعد رفع أسعار الوقود
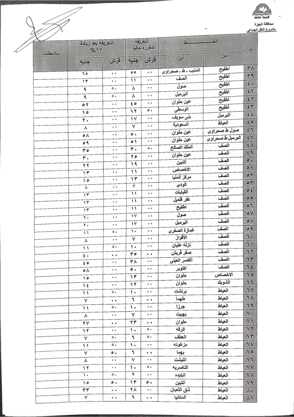
تعريفة سيارات السرفيس في الجيزة.. اعتمد الدكتور أحمد الأنصاري، محافظ الجيزة، اليوم التعريفة الجديدة لسيارات السرفيس والنقل الجماعي الداخلية والخارجية لتدخل حيز التنفيذ مباشرة، في خطوة تهدف لتنظيم حركة المواصلات وضمان عدالة الأسعار بين جميع المواطنين.
وبحسب بيان أطلع الموجز عليه، يأتي هذا القرار بالتزامن مع تحريك أسعار المنتجات البترولية وفق قرار لجنة التسعير التلقائي للمنتجات البترولية بوزارة البترول، مع مراعاة مسافة كل خط سير وعدد الرحلات، لضمان توحيد التعريفة مع المحافظات المجاورة ومنع أي استغلال أو زيادات منفردة من قبل السائقين.
تحديد أسعار أسطوانات الغاز
في الوقت نفسه، حدد المحافظ أسعار أسطوانات الغاز المنزلي والتجاري، مع تكثيف الحملات الرقابية لضمان التزام المستودعات والأسواق بالأسعار الرسمية وحماية حقوق المواطنين.
تعديل تعريفة سيارات السرفيس والنقل الجماعي
أكد الدكتور أحمد الأنصاري أن اللجنة المكلفة بتعديل تعريفة الركوب أخذت في الاعتبار مسافة كل خط سير وعدد الرحلات لتحقيق العدالة بين المواطنين والسائقين.
وأوضح أن التعريفات الجديدة لسيارات السرفيس الخارجية، أو ما يعرف بخطوط الأقاليم، تم تنسيقها مع المحافظات المجاورة لضمان توحيد الأسعار على مستوى خطوط السير المرتبطة بمحافظة الجيزة.
تنفيذ التعريفة الجديدة والإلتزام بالملصقات
كلف محافظ الجيزة جهاز السرفيس والأحياء والمراكز بطباعة ملصقات وبانرات بالتعريفة الجديدة وضرورة نشرها وتعليقها في المواقف وأماكن واضحة لجميع المواطنين والسائقين.
وشدد على التأكد من وضع الملصق الخاص بكل سيارة سرفيس أو نقل جماعي، والمتضمن خط السير والأجرة الجديدة، منعًا لأي زيادات منفردة أو تقسيم غير قانوني لخطوط السير.
الرقابة والمتابعة على مدار الساعة
وجّه الدكتور أحمد الأنصاري الأجهزة المعنية، من جهاز السرفيس وإدارة المرور ورؤساء الأحياء والمراكز ومسؤولي التموين، بالرقابة والمتابعة المستمرة للتأكد من الالتزام بالتعريفة الجديدة وعدم استغلال المواطنين، مع تطبيق غرامات فورية ورادعة واتخاذ كافة الإجراءات القانونية ضد المخالفين.
وأكد المحافظ أن غرفة العمليات الرئيسة بالمحافظة منعقدة على مدار الساعة بحضور جميع الجهات المعنية، كما أعلن أرقام الطوارئ لتلقي أي بلاغات تتعلق بالتسعيرة الجديدة، على الخطوط 33465048 / 33465046، بالإضافة إلى خدمة الواتساب على الرقم 01016050453.
أسعار أسطوانات الغاز المنزلي والتجاري
في سياق متصل، أصدر الدكتور أحمد الأنصاري قرارًا بتحديد أسعار أسطوانات الغاز لكل من المستودعات والمفوضين وشباب الخريجين، ليتم تسليمها للمواطنين وفق الأسعار التالية:
أسطوانة الغاز المنزلي (12.5 كجم) تسليم داخل أرض المستودع بسعر 275 جنيهًا، وتسليم خارج المستودع "توصيل" بسعر 285 جنيهًا، بينما أسطوانة الغاز التجاري (25 كجم) تسليم داخل أرض المستودع بسعر 550 جنيهًا، وتسليم خارج المستودع "توصيل" بسعر 570 جنيهًا.

وشدد المحافظ على مديرية التموين والتجارة الداخلية بضرورة تكثيف الحملات الرقابية على مستودعات البوتاجاز على مستوى المحافظة للتأكد من الالتزام بالأسعار المقررة وعدم بيع الأسطوانات بأزيد من السعر المحدد، مع اتخاذ الإجراءات القانونية اللازمة حيال المخالفين، حفاظًا على حقوق المواطنين وضمان وصول الدعم لمستحقيه.




